TOPWET Sanačná vpusť pre nezateplené strechy s BIT manžetou
Sanačná vpusť pre nezateplené strechy, s BITUMENOVOU manžetou z modifikovaného asfaltového pásu a s ochranným košom - pre potrubie priemeru 54-200 mm (podľa variantu).
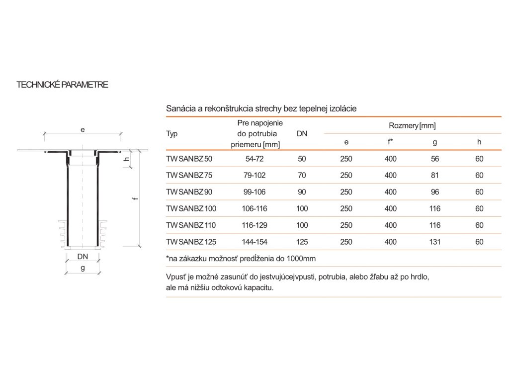
Sanačná vpusť (sanačný vtok) TOPWET - pre strechy bez zateplenia
- Priame napojenie do jestvujúcich strešných vpustí alebo zvislých zvodov
- Široký sortiment jemne odstupňovaných priemerov
- integrovaná bitúmenová manžeta (modifikovaný asfaltový pás) rsp. PVC fólia na báze mäkčeného PVC
- Ľahká aplikácia pri rekonštrukciách, pri použití novej tepelno-izolačnej vrstvy od hrúbky 50 mm
- dĺžka 40 cm, na zákazku možnosť predĺženia až do 200 cm (každých započatých 100 mm = 4 EUR bez DPH)
- Jazýčkové tesnenie proti vzdutej vode súčasťou každého vpustu
- Sklzný prostriedok súčasťou každého balenia
- Vyhrievané vyhotovenie na zákazku 230 V s pripájacím káblom
- súčasťou balenia je ochranný kôš
Za príplatok je možné dodanie integrovanej manžety na zakázku - EPDM, TPO, FPO, PE, STE – stierková izolácia, podľa manžety izolácie.
Dodatočné parametre
| Kategória: | Sanačné vpuste TOPWET s bitumenovou manžetou |
|---|---|
| Pre potrubia - rozmer (mm): | 54-72, 79-102, 99-106, 106-116, 116-129, 144-154 |
| Dĺžka bez ochranného koša (mm): | 400 |
| Materiál (telo vpusti): | Polyamid PA6 |
| Materiál - ochranný kôš: | Polyamid PA6 |
| Materiál - manžeta: | modifikovaný asfaltový pás |
| Ochranný kôš: | Áno |
| Prevedenie plášťa: | Jednostenné |
| Vyhrievanie: | Nie |
| Zateplenie: | Nie |
| Možnosť predĺžiť: | do 1000 mm |
Buďte prvý, kto napíše príspevok k tejto položke.
Pridať komentár
